


The perimeter ratio of a department is the ratio of the current perimeter length divided by the perimeter of a square department with the same area. Let
and
be the perimeter and area of department i, respectively, the perimeter ratio
is then given by:
(3.2)
For example the perimeter ratio of a square is one and the perimeter ratio of a four by one rectangle is equal to 1.25. A higher value indicates a department with a more convoluted shape.
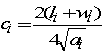
For rectangular departments, the perimeter can be expressed in function of the width and length of the department as:
(3.3)
The perimeter ratio is an output variable, computed by the program based on the current shape of the department.
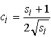
For rectangular departments there exists a one to one correspondence between the perimeter and shape ratio of a department. Let
be the shape ratio of a department, then this
relationship is given by:
(3.4)
The equivalent values for the most practical range of the shape and perimeter ratio are given in the following table.
Table 3.1. Equivalent Values of Shape and Perimeter Ratios for Rectangular Departments

